
第一作者:梁智霖、丁晓宇、蔡晨
通讯作者:胡敬平
论文DOI:10.1016/j.jclepro.2022.133281
论文全文链接:http://dx.doi.org/10.1016/j.jclepro.2022.133281
FunMat课题组主页:http://funmat.ese.hust.edu.cn/

近日,威廉williamhill环境学院Funmat课题组胡敬平教授团队在Journal of Cleaner Production 上发表了题为“Acetate acid and glucose assisted subcritical reaction for metal recovery from spent lithium ion batteries”(Journal of Cleaner Production, 2022, 369, 133281)的研究论文。本文采用亚临界反应强化有机酸体系实现了废旧锂离子电池的高效浸出。与传统的有机酸浸出体系相比,亚临界辅助下的有机酸浸出体系具有试剂消耗少,反应时间短,回收效率高等显著优势。文章还阐明了亚临界强化金属浸出的机理。水热活化可以加速晶体结构的解离,醋酸的大电离常数有助于维持溶液中质子的恒定供应。此外,葡萄糖可以促进溶解的金属离子还原为更易溶解的低价态,并分解成其他能与金属阳离子配位的低分子量有机酸,促进金属从正极材料中溶解出来。因此,提出的在亚临界反应中使用有机酸和葡萄糖是一种有效、环保、经济和可持续的废锂离子电池金属回收策略。
引言
锂离子电池由于其高能效、长寿命以及环境友好等优点被广泛使用。随着使用量的上升,如何有效处置废旧锂离子电池成为了一项热点问题。基于有机酸的湿法回收工艺由于其环境友好性得到了广大研究者的青睐,但其仍受着浸出效率低、试剂使用量大等因素限制。为了解决上述问题,提出了一种利用水热法在亚临界条件下强化有机酸浸出废旧锂离子电池中有价金属的方法。此外,还探索了亚临界系统水热辅助有机酸浸出工艺的机理,并进一步评估了蔗糖的具体效果。通过实验研究和从头算分子动力学(AIMD)模拟,阐明了乙酸对目标组分的影响以及过渡金属与葡萄糖分解产生有机酸的配位作用。
图文导读
一、亚临界强化体系下废旧正极材料的浸出过程探究
在最优浸出条件下,锂、钴、锰和镍的平均浸出率分别为99.93%、97.57%、99.37%和98.79%,如图1a所示。相比之下,在室温下常温添加的浸出效率低于50%。在没有葡萄糖或乙酸的情况下,锂的浸出率保持在70%左右,即使在相同的亚临界条件下,其他三种金属的浸出率也很低。这一结果表明,作为还原剂的葡萄糖、作为浸出剂的乙酸和亚临界条件对于有效的金属浸出都是必不可少的。浸出前后正极材料发生了明显的结构变化,从图1b中的XRD图谱中可以发现原料中的大部分金属氧化物在酸浸反应中溶解,其中大部分金属转移到溶液中,只有一小部分留在残渣中,表明水热浸出过程可以有效地破坏晶体结构,导致晶体结构向无定形相转变。图1c中的红外表征结果表明体系中存在多种含羰基的氧化产物,这些氧化产物很可能是小分子有机酸。XPS分析结果如图1d-e所示,反应前后材料中的Co和Mn元素价态发生了明显变化,XPS峰的变化表明水热反应后正极材料的原始金属氧化物形式发生破坏。因此,水热条件和乙酸相互作用会破坏晶体结构。此外,葡萄糖还能降低Co和Mn元素的化合价,促进溶解。



图 1. (a) 金属在各种浸出条件下的浸出效率,(b) XRD图谱:(i)正极材料,(ii)残渣,(iii)干燥产物,(c) FTIR光谱和(d, e)浸出前后的XPS光谱。亚临界浸出条件如无特殊说明:时间120 min,乙酸浓度2 mol/L,固液比10 g/L,葡萄糖载量1.5 g/g。
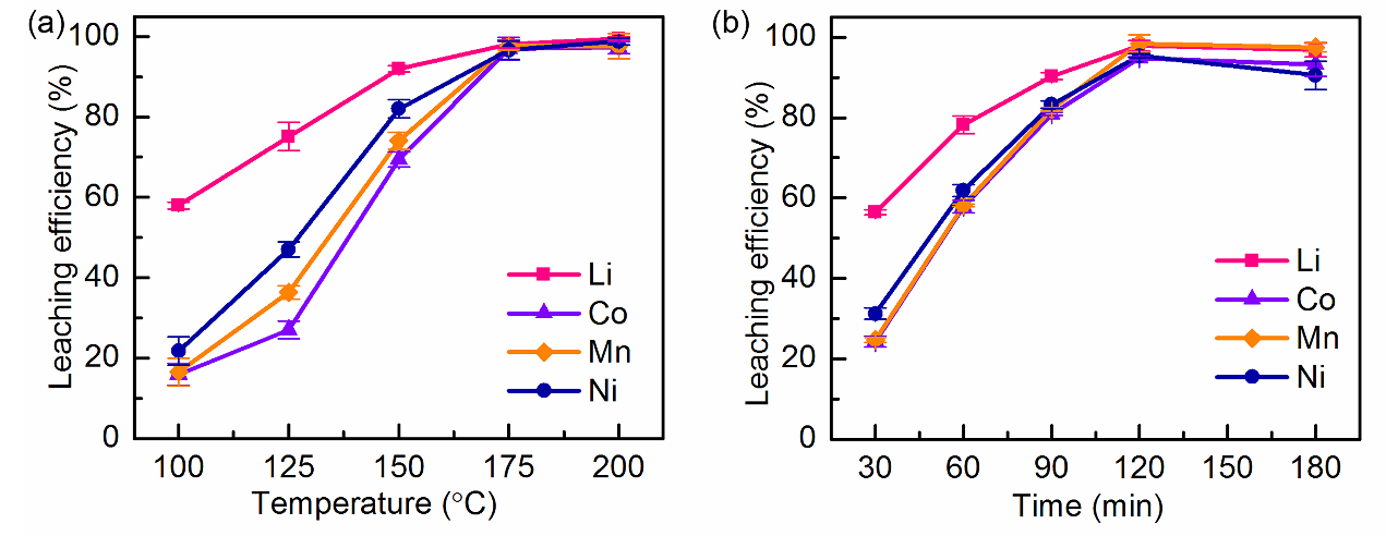
二、亚临界强化浸出反应的温度影响与动力学表征
温度是影响亚临界强化浸出反应的主要因素之一。如图2a-b所示,随着反应温度上升有价金属浸出率持续增加。在亚临界反应中温度与容器压力呈正相关,更高温度意味着反应更接近临界点,从而溶剂体现出非凡的特性,例如较低的粘度、表面张力和介电常数。除了高温下亚临界条件的主要贡献外,锂和过渡金属的浸出是吸热反应,在较高温度下分子运动加剧,这也促进了金属从材料浸出到溶液中。
从废锂离子电池正极中浸出金属是一个固-液非均相过程,金属浸出过程的动力学可以通过缩核模型来描述。如图2c和d所示,Li的浸出与实芯的内部扩散控制非常吻合,而Co、Mn和Ni的浸出则主要受表面化学反应的控制。因此,该浸出过程的速率控制步骤是由内部扩散和化学反应的混合模型主导的。


图 2. (a) 温度和 (b) 时间对 (c) Li 和 (d) Co、Mn 和 Ni 的浸出效率、浸出动力学的影响
三、有机酸对亚临界强化浸出反应的影响机制探究
有机酸浸出剂(即乙酸)的选择对浸出性能也很关键,如图3a所示,乙酸浓度对锂元素的浸出率影响较小,而随着乙酸浓度从1.0mol/L增加到2.5mol/L,Co、Mn和Ni的浸出加速,直至在2.0mol/L时分别达到最高的99%、98%、98%和97%的浸出率。乙酸可以作为质子缓冲剂提供稳定的氢离子供应以促进浸出,因为质子会随着反应的进行而迅速消耗,并且可以与金属配合以促进从固相到水相的转移。当在相同的亚临界条件下使用相同pH值的强酸时,低浸出效率的鲜明对比证实了这一推测(图3b)。由于乙酸的电离平衡常数相对较大,在质子不断消耗以攻击阴极中的金属氧化物的过程中,平衡的移动将提供质子的持续供应。同时,乙酸根阴离子将通过配位与金属阳离子形成稳定的络合物,从而促进正极材料的溶解。图3c-f为Medusa软件模拟的有价金属离子与乙酸根形成的配合物在体系中的比例分数。从这些图中可以看出,除了与Li+的稳定性常数较低外,有价金属离子Co2+、Mn2+和Ni2+都会在亚临界条件下与CH3COO‑配位形成稳定的络合物。因此,水热过程有助于显著加强金属阳离子和乙酸根阴离子之间的配位。



图 3. (a)乙酸浓度,(b)不同pH值的各种有机酸和无机酸对浸出效率的影响;(c-f)乙酸辅助浸出:(c) Li, (d) Co, (e) Mn和(f) Ni的分数分布图。模拟使用的反应条件:乙酸浓度为0.2 mol/L,Li、Co、Mn和Ni的浓度均为0.1 mol/L。
四、有机还原剂作用机制与反应路径探究
如图4a所示,随着葡萄糖浓度从0增加到2mol/L,Co、Mn和Ni的浸出效率显着提高到95%以上,而Li的浸出效率变化不大。人们普遍认为,还原后的Co2+和Mn2+会表现出更高的溶解度,从而促进了金属向水相的浸出。实验还评估了其他有机系还原剂的作用效果,如蔗糖和纤维素(图4b)。与纤维素反应相比,葡萄糖和蔗糖作为还原剂在废锂离子电池的浸出过程中具有优势。考虑到优异的浸出性能可能与葡萄糖中还原醛官能团的存在有关,还比较了与其他含醛官能团的试剂,包括甲醇、乙二醛和戊二醛的浸出。其中乙二醛的浸出率较高,Li、Co、Mn、Ni的浸出率分别达到84%、44%、56%和64%,仍远低于葡萄糖。因此,葡萄糖作为还原剂的作用仅部分有助于提升优异的性能。
在反应过程中,葡萄糖会被逐步氧化为多羟基酸、醛糖酸、酒石酸、草酸和甲酸,最后完全矿化为二氧化碳和水。通过HR-LC-MS检测,确认了反应过程中产生的中间有机产物主要为草酸、酒石酸和双丙二酸及其分解产物(图4c)。其中,大部分的有机酸可以与从锂离子电池正极浸出的过渡金属阳离子配位,形成稳定且高度溶解的金属有机络合物,从而显着促进浸出。
基于以上讨论,提出了该亚临界反应的反应机理,如图4d所示。除了稳定供应质子以从三元氧化物中提取氧原子以从阴极材料中释放金属阳离子外,乙酸还提供与金属阳离子配位的乙酸根阴离子以促进向水相的转移。另一方面,葡萄糖中的醛基官能团将金属阳离子还原为高度可溶的低价态。同时,葡萄糖在亚临界体系中被氧化分解,生成乙醛酸、双丙醇酸、酒石酸、草酸等低分子有机酸。四种有机酸均能与金属阳离子强烈配位,从而加速金属从锂离子电池正极表面的溶解,促进亚临界条件下的浸出过程。亚临界条件在促进乙酸释放质子和促进葡萄糖反应方面起着关键作用。


图 4. (a) 葡萄糖用量和 (b) 还原剂对浸出效率的影响,(c)水热反应 80 分钟后的 HR-LS-MS 谱图,(d)亚临界条件下的浸出过程反应机理
五、AIMD模拟揭示亚临界浸出过程反应机理
为了阐明亚临界浸出过程中的反应方案,在乙酸和葡萄糖(LNCM-A-G)存在下,以1fs每步的速率和100kbar压力条件进行了10000步的AIMD模拟。还以无葡萄糖(LNCM-A)和无乙酸模型(LNCM-G)作为对照组阐明每种试剂在浸出过程中的作用。模拟结果如图5所示。在LNCM-G(图5d)、LNCM-A(图5e)和LNCM-A-G(图5f)中,顶层的原子明显向上扩散,并且在10000步后出现了晶体结构的明显解离,与初始模型(图5a-c)形成鲜明对比的是,在乙酸和葡萄糖共存的LNCM-A-G系统中(图5f),Co离子与乙酸的络合变得更加明显。此外,三个体系的原子位置均方根偏差(RMSD)在进行10000步的模拟后大小顺序为LNCM-A-G>LNCM-A>LNCM-G,表明同时添加葡萄糖与乙酸时对浸出反应的促进作用最大。
图5h记录了LNCM-G和LNCM-A-G系统中C(63)-C(64)、Co(1)-O(9)两组原子的间距离变化。结果发现LNCM-A-G组中的C(63)-C(64)间距在126fs内迅速增加,最终稳定在7.3Å,说明了在亚临界条件下葡萄糖快速分解,并进一步证实了乙酸的存在促进了葡萄糖更完全地分解为小分子酸。而Co(1)-O(9)的原子间距在LNCM-A-G系统中下降到仅3.2Å,但在LNCM-A系统中下降到4.7Å。综上所述,Co在亚临界条件下与乙酸和葡萄糖分解产生的其他有机酸很容易配位,配位可以调节亚临界反应,从而实现废锂离子电池中有价值元素的高效浸出。


图 5. 不同体系下的初始模型:(a) LNCM-葡萄糖 (LNCM-G)、(b) LNCM-乙酸 (LNCM-A)、(c) LNCM-乙酸-葡萄糖 (LNCM-A-G);在10000步模拟后的模型:(d) LNCM-G、(e) LNCM-A、(f) LNCM-A-G;(g) 模型中所有原子的 RMSD 分析;(h) 模拟过程中C(62)-C(63)、Co(1)-O(9)之间原子距离的变化。
六、理论启示与环境经济效益影响
本文所提出的水热辅助有机酸浸出工艺为废锂离子电池的回收提供了一种新方法,可以避免使用无机酸可能会带来二次污染、设备腐蚀和化学安全问题,同时醋酸与其它有机酸相比也呈现出更好的安全性与经济效益。亚临界系统辅助浸出具有安全、廉价和环境可持续性的优势,突破了传统方法中试剂消耗量大、反应时间长的限制。 在亚临界系统的辅助下,醋酸的浸出性能显着提高。与现有研究相比,酸浓度需求从3 mol/L大幅降低到2 mol/L,并且反应时间也缩短到67分钟,显示出在工业应用中的潜在优势,并进一步减少了电池回收过程中的碳排放。
为了进一步评估本工艺的经济潜力,进行了简单的经济评估。结果表明,处理1 kg正极材料的乙酸和葡萄糖试剂成本分别为9.64美元和0.69美元,显著低于其他有机酸浸出工艺中试剂成本,进一步评估得出回收废锂离子电池的净利润为每吨1015美元。根据生命周期评估(LCA)研究,从环境影响方面来看,酸浸相比火法冶金、热解和碱浸在环境影响和温室气体排放方面具有优势。另一项LCA研究表明,由于酸、能源和添加剂的消耗,浸出步骤主要对一般环境影响做出贡献。值得注意的是,酸浸过程对致癌物的影响最大,这主要归因于强酸的使用。因此,通过用温和的有机酸替代,回收过程可能会呈现出更好的环境友好性,最终实现废锂离子电池中有价值金属的“绿色回收”。
结论
本研究通过水热反应在亚临界条件下强化有机酸浸出,回收废旧锂离子电池正极材料中的有价金属,在最佳条件下,超过97%的四种金属在67分钟内从废旧电池中得到有效浸出。在这个过程中,亚临界条件显着促进了晶体结构的解离。有机乙酸作为pH缓冲剂提供稳定的质子供应,还可以为配位反应提供配体。同时,葡萄糖作为一种高效的还原剂,可以促进溶解的金属离子转化为更易溶解的低价态离子。鉴别了葡萄糖和乙酸分解产生的有机酸种类,它们也可用于进一步与金属阳离子配位以提高浸出效率。所提出的与有机酸和金属配位相结合的亚临界方法在回收废锂离子电池方面表现出极高的效率以及优异的环境友好性,并为采用亚临界技术设计更有效的回收方法提供了启示。此外,揭示的水热辅助回收过程的机理显示出在其他电子废物回收方面的潜在应用。
作者简介

梁智霖,硕士生,威廉williamhill环境学院。研究方向为废旧锂离子电池中有价金属的提取与分离。

丁晓宇,硕士,威廉williamhill环境学院。研究方向为高级氧化技术及锂离子电池湿法浸出。

蔡晨,硕士,威廉williamhill环境学院。研究方向为锂离子电池湿法浸出及有价金属回收。

胡敬平,博士、教授,威廉williamhill环境学院。博士毕业于英国牛津大学化学系,博士毕业后先后在英国诺丁汉大学和牛津大学从事博士后研究,荣获Ramsay Fellowship。目前主要研究方向为环境催化、环境功能材料和固废资源化与污染控制技术。在Adv. Mat.、Adv. Func. Mat.、Angew. Chem.等期刊发表论文170余篇,单篇最高他引160余次,总他引超过4670次,H因子38。担任“Energy & Environmental Materials”期刊副主编、巴塞尔公约亚太区域中心化学品和废物环境管理智库专家、湖北省资源综合利用协会专家委员会委员,主持国家重点研发课题、国基金、省基金重点项目,承担科技部青年973项目。
文献链接
Zhilin Liang#, Xiaoyu Ding#, Chen Cai#, Gangwei Peng, Jingping Hu*, Xiaorong Yang, Sijing Chen, Lu Liu, Huijie Hou, Sha Liang, Keke Xiao, Shushan Yuan, Shoubin Zhou, Jiakuan Yang, Acetate acid and glucose assisted subcritical reaction for metal recovery from spent lithium ion batteries, Journal of Cleaner Production, 2022, 369, 133281 (http://dx.doi.org/10.1016/j.jclepro.2022.133281