当前,我国的大气污染呈现出细颗粒物(PM2.5)和臭氧(O3)为主的复合污染,而挥发性有机物(Volatile organic compounds,VOCs)是二者共同的主要前体物之一,“十四五”期间国家更加重视VOCs排放控制。郭利民教授团队近年来一直致力于吸附/催化剂的创制,用于VOCs吸附/催化燃烧净化研究,包括沸石分子筛基吸附/催化剂、金属氧化物催化剂研制、吸附/催化动力学研究及应用推广等,近年来团队在VOCs催化燃烧消除的主要进展如下:
非贵金属氧化物催化剂(Fe、Cu、Ce、V、Cr、Mn、Co、Ni等金属氧化物或复合氧化物)由于来源广泛、价格低廉和对VOCs良好的催化活性等优势而备受关注。然而,此类催化剂存在比表面积小、起燃温度高、失活容易、热稳定性差和易烧结等缺点,团队针对非贵金属氧化物催化剂的局限性开发了新的催化剂体系。基于水溶液中非贵金属/金属含氧酸根离子之间氧化还原反应沉淀(Redox-precipitation)来制备过渡金属或复合金属氧化物催化剂。通过溶液反应条件的控制和合理调节,团队成功制备出多种锰基复合金属氧化物催化剂在VOCs催化燃烧反应中展现出更好的协同催化效应,其中典型的有MnO2&CoMnxOy (Catalysis Science & Technology, 2018, 8, 459)、FeMnxOy(ACS Applied Nano Materials, 2018, 1, 1066;Applied Catalysis B-Environmental, 2021, 286, 119873)、CuMnxOy(Chemical Engineering Journal, 2019, 357, 258)、δ-MnO2(Applied Catalysis A-General, 2020, 602, 117715)、Ag-MnO2(ACS Applied Nano Materials, 2020, 3, 11869-11880)、Cs/K/Na-MnO(ACS Catalysis, 2020, 10, 10021-10031)。

图.理想ɛ-MnO2的模型结构、Fe掺杂ɛ-MnO2的结构以及Fe掺杂ɛ-MnO2的V0缺陷位置(A)和V0位点吸附氧气的模型结构及甲苯催化氧化过程(B)(结果来自DFT计算)(Applied Catalysis B-Environmental, 2021, 286, 119873)
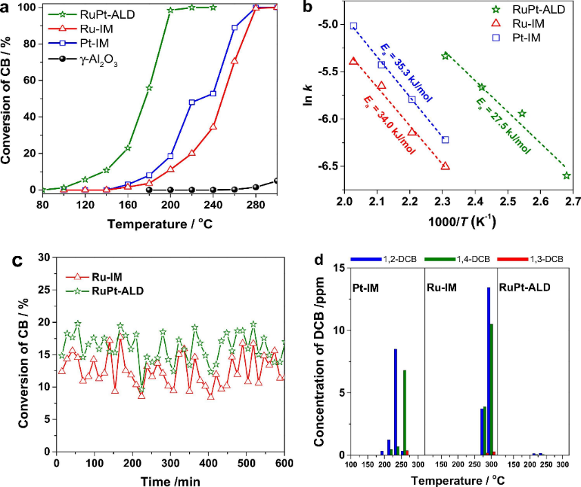
针对更难矿化的含氯VOCs(CVOCs),团队开发出具有良好抗氯中毒能力的非贵金属氧化物催化剂(如锰基、钴基和铈基催化剂等),进行理论设计开发出CVOCs具有更高活性、高稳定性(耐氯、二氧化硫等中毒失活)、高选择性(抑制副产物尤其是多氯副产物的生成)的催化剂。通过水滑石衍生的方法制备了一系列氧化钴基催化剂(CoAl、CoCr和CoFe),实现氧化位点和酸性位点的协同,从而提高催化剂对氯代芳香烃催化燃烧消除的活性、稳定性以及合乎环境要求产物的选择性(Applied Catalysis B-Environmental, 2020, 278,119336; Catalysis Science & Technology, 2021, 11, 5094-5108);利用沸石分子筛酸性位点与金属氧化物优异氧化性能之间的协同催化作用有效降低了CVOCs的催化燃烧温度(Microporous and Mesoporous Materials, 2020, 308, 110538;Microporous and Mesoporous Materials, 2021, 312,110599);利用高Deancon反应活性的RuOx物种,开发了系列RuOx/Co3O4催化剂,通过提高氧空位和表面活性氧数量以实现更好的催化活性和更低的多氯副产物选择性(Applied Catalysis A-General, 2021, 624, 118300);此外,在机理研究方面,利用同位素示踪及原位红外等先进手段,率先提出CVOCs催化燃烧过程中加氢脱氯产物的形成机制(ACS Catalysis, 2020, 10, 13109-13124);最近,基于CVOCs的催化燃烧机理,采用原子层气相沉积技术,设计开发了一种新型亚纳米Ru涂层Pt/Al2O3催化剂,其在潮湿空气中展现出良好的氯苯催化活性和合乎环境要求产物选择性,并具有良好的稳定性和抗氯中毒能力(Applied Catalysis B: Environmental, 2023, 330, 122648)。

图.(a)氯苯转化率随温度的变化,(b)lnk随逆温度的变化,(c)200℃下氯苯氧化测试的稳定性数据,(d)催化剂上1,2-二氯苯副产物随温度的分布(反应条件:167 ppm 氯苯/5 vol% H2O/空气, GHSV = 20,000 mL/g h,催化剂质量:200 mg)(Applied Catalysis B: Environmental, 2023, 330, 122648)
以上研究获得国家重点研发计划政府间科技创新合作重点专项(2017YFE0127400)、湖北省自然科学基金-杰出青年人才(2019CFA070)、威廉williamhill青年学术前沿团队(2018QYTD03)、科技部外国专家局高端外国专家引智(G****154025L、G****154004L)、国家留学基金委创新型人才国际合作培养(CXXM****0042)等项目及国内外合作伙伴支持。